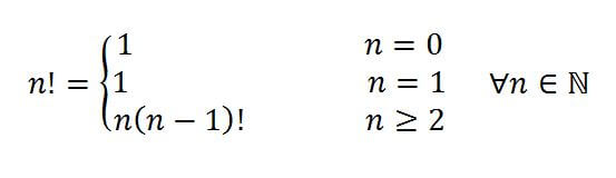
Rolidones
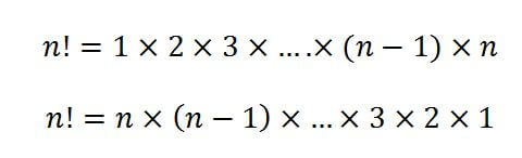
فاکتوریل : این تعمیم را در ادامهی.